Вернуться к содержанию учебника
1. Вспомни свойства сложения и, используя их, вычисли сумму удобным способом.
| 20 + 2 + 8 + 40 | 6 + 40 + 4 + 20 |
| 30 + 3 + 50 + 7 | 1 + 10 + 9 + 60 |
Решение
| 20 + 2 + 8 + 40 = 70 |
| 30 + 3 + 50 + 7 = 90 |
| 6 + 40 + 4 + 20 = 70 |
| 1 + 10 + 9 + 60 = 80 |
Пояснение
| 20 + 2 + 8 + 40 = (20 + 40) + (2 + 8) = 60 + 10 = 70 |
| 30 + 3 + 50 + 7 = (30 + 50) + (3 + 7) = 80 + 10 = 90 |
| 6 + 40 + 4 + 20 = (40 + 20) + (6 + 4) = 60 + 10 = 70 |
| 1 + 10 + 9 + 60 = (10 + 60) + (1 + 9) = 70 + 10 = 80 |
2. 
2 + 30 30 + 2 | 20 - 1 19 |
8 +(7 + 5) 8 + 7 + 5 | 70 + 5 80 |
Повтори порядок действий в примерах со скобками и тему "Равенства и неравенства".
3. Во 2 А классе 20 учеников, а в 3 А - на 2 ученика больше, а в 4 А - на 1 ученика меньше, чем в 3 А. Сколько учеников в 4 А?
Повтори тему "Больше. Меньше".
Выберите год учебника
Стр. 57 учебника 2011-2022:
4. В кружке рисования 8 девочек, а мальчиков на 2 меньше. Поставь вопрос так, чтобы задача решалась двумя действиями, и реши её.
Стр. 57 учебника 2023-2024:
4. В кружке рисования 8 человек, а мальчиков на 2 меньше. Задай вопрос так, чтобы в задаче был ответ: 14 детей.
Повтори случаи табличного сложения и состав числа 8.

Решение
Вопрос: Сколько всего детей занимается в кружке рисования?
1) 8 - 2 = 6 (д.) - мальчики.
2) 8 + 6 = 14 (д.)
Ответ: всего 14 детей.
Пояснение

Сокращение (ч.) - человек.
к действию 1:
На 2 меньше. Уменьшение. Вычитание. Знак минус.
к действию 2:
Сколько всего? Сложение. Знак плюс.
5. 
Повтори состав двузначного числа.
6. Составь задачу и реши её.

Составь и реши задачу, обратную данной.
В нашем справочнике повтори, что такое обратная задача.
Решение
1) В вагоне электрички ехало 12 человек. После того, как на остановке вышли несколько человек, в вагоне осталось 5 пассажиров. Сколько человек вышло на остановке?
12 - 5 = 7 (чел.)
Ответ: на остановке вышло 7 человек.
Обратная задача:
В вагоне электрички ехало несколько человек. После того, как на остановке 7 пассажиров вышли, в вагоне осталось 5 человек. Сколько человек было в вагоне первоначально?
7 + 5 = 12 (чел.)
Ответ: сначала в вагоне было 12 человек.
2) На тарелке лежали 12 пирожков. Дети взяли и съели 3 пирожка. Сколько пирожков осталось на тарелке?
12 - 3 = 9 (п.)
Ответ: на тарелке осталось 9 пирожков.
Обратная задача:
На тарелке лежали 12 пирожков. Дети взяли и съели несколько пирожков, тогда на тарелке осталось 9 пирожков. Сколько пирожков съели дети?
12 - 9 = 3 (п.)
Ответ: дети съели 3 пирожка.
Пояснение
Задача 1

к обратной задаче:

Задача 2

к обратной задаче:

7. Сколько на чертеже треугольников?
Сколько четырёхугольников?

Повтори, чем треугольник отличается от четырёхугольника.
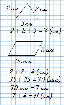
8. Начерти такие многоугольники и найди периметр каждого из них.

В нашем справочнике повтори, как найти периметр фигуры.
Вычисли:
| 7 + 50 + 3 + 30 | 80 + 8 + 10 + 2 |
Вспомни действия с круглыми числами.
Повтори свойства сложения и порядок действий в примерах со скобками.
Вернуться к содержанию учебника