Номер 315 - ГДЗ Математика 6 класс. Мерзляк, Полонский. Учебник. Страница 62

Вернуться к содержанию учебника

Страница 62

312 313 314 315 316 317 318

Вопрос

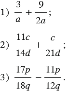
Упростите выражение (буквами обозначены натуральные числа):

Подсказка

Вспомните:

  1. Буквенные выражения.
  2. Обыкновенные дроби.
  3. Приведение дробей к общему знаменателю.
  4. Сложение и вычитание дробей с одинаковыми знаменателями.
  5. Сложение и вычитание дробей с разными знаменателями.

Ответ


Вернуться к содержанию учебника