Номер 2. Обыкновенные дроби. Решаем устно § 17 - ГДЗ Математика 6 класс. Мерзляк, Полонский. Учебник. Страница 102

Вернуться к содержанию учебника

Обыкновенные дроби. Решаем устно § 17. Страница 102

3 1 1 2 1 1 2

Вопрос

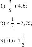
Выполните действия:

Подсказка

Ответ

3 1 1 2 1 1 2


Вернуться к содержанию учебника