Номер 504 - ГДЗ Алгебра 7 класс. Мерзляк, Полонский. Учебник. Страница 94

Вернуться к содержанию учебника

Страница 94

501 502 503 504 505 506 507

Вопрос

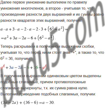
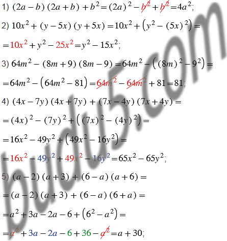
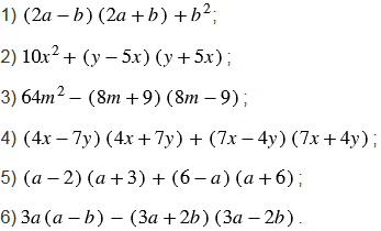
Упростите выражение:

Подсказка

Ответ


Вернуться к содержанию учебника