Номер 5 - ГДЗ Алгебра 8 класс. Мерзляк, Полонский. Учебник. Страница 8

Вернуться к содержанию учебника

Упражнения § 1. Страница 8

2 3 4 5 6 7 8

Вопрос

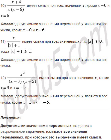
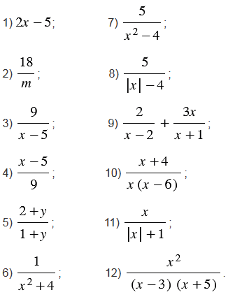
Найдите допустимые значения переменной, входящей в выражение:

Подсказка

Вспомните:

  1. Какие значения переменных называют допустимыми, дробные выражения (рациональные дроби).
  2. Деление и дроби.
  3. Степень с натуральным показателем.
  4. Модуль числа.
  5. Свойства умножения.
  6. Сложение и вычитание рациональных чисел.
  7. Что называют многочленом.
  8. Что называют одночленом.
  9. Какие выражения называют целыми.

Ответ

2 3 4 5 6 7 8


Вернуться к содержанию учебника