Номер 25 - ГДЗ Алгебра 8 класс. Мерзляк, Полонский. Учебник. Страница 10

Вернуться к содержанию учебника

Упражнения § 1. Страница 10

22 23 24 25 26 1 2

Вопрос

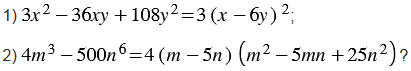
Какое из равенств является тождеством:

Подсказка

Ответ


Вернуться к содержанию учебника