Вернуться к содержанию учебника
Упражнения § 9. Страница 70
273 1 274 275 276 277 278 279 280 281 282
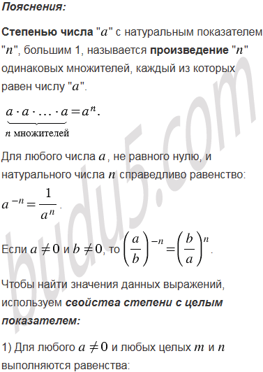
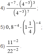
Найдите значение выражения:
1) 6-966;
2) 7-16 : 7-18;
3) 5-7 : 5-653;
Вспомните: