Номер Когда сделаны уроки - ГДЗ Алгебра 8 класс. Мерзляк, Полонский. Учебник. Страница 196

Вернуться к содержанию учебника

Упражнения §23. Страница 196

799 800 801 Когда сделаны уроки 802 803 804

Вопрос

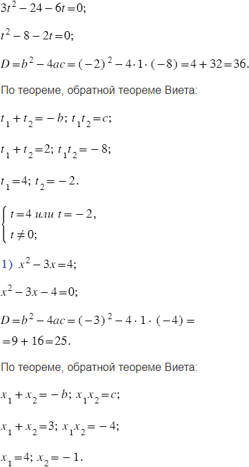
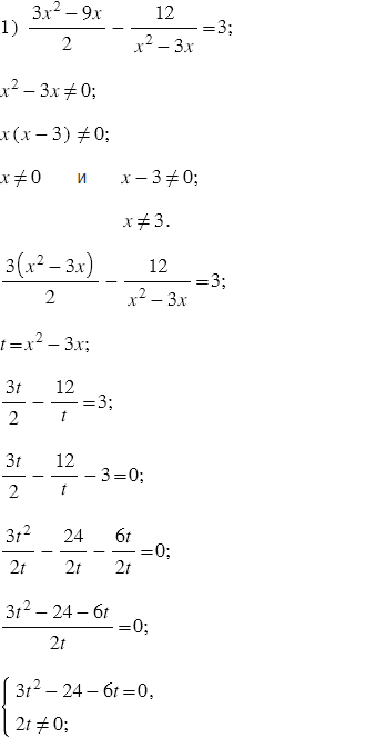
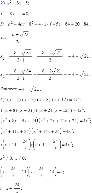
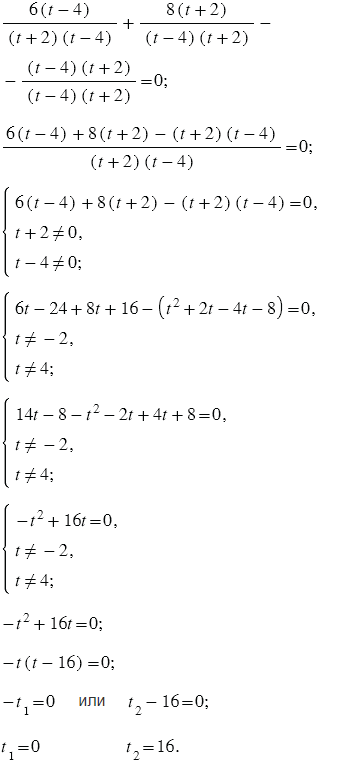
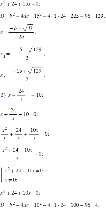
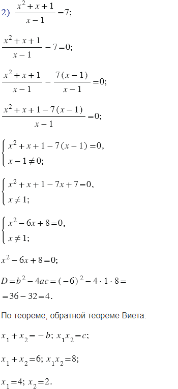
Решите уравнение:

Подсказка

Ответ


Вернуться к содержанию учебника