Номер 346 - ГДЗ Алгебра 7 класс. Мерзляк, Полонский. Учебник. Страница 66

Вернуться к содержанию учебника

Страница 66

343 344 345 346 347 348 349

Вопрос

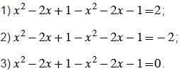
Расставьте скобки так, чтобы равенство стало тождеством:

Подсказка

Вспомните:

  1. Что называют тождеством.
  2. Правила раскрытия скобок, подобные слагаемые.
  3. Противоположные числа.
  4. Правила сложения рациональных чисел.
  5. Модуль числа.

Ответ


Вернуться к содержанию учебника